About the author: Kit Golan
Kit is an MfA Master Teacher teaching 6th and 7th grade math in a NYC public middle school. He is dedicated to crafting experiences for his students that create cognitive dissonance to develop students’ mathematical mindsets. He meets students where they are, and challenges them to grow their brain and delve deeper into mathematical understanding. He is constantly reflecting on his own practice: sharing those reflections in his blog https://teachdomore.wordpress.com/ and tweeting at @MrKitMath
Challenging my Algorithm-Loving Students to Think
Recently I designed a sequence of strings to support my 7th graders to reason about division of rational numbers. I wanted to move away from the “algorithm only/always” approach I had seen and help my students build a bank of smart strategies. Ultimately I am hoping that my students are flexible thinkers with deep number sense, so this set of strings was designed to explicitly invite them to try new, different strategies based on the relationships of the numbers in the problems.
In our investigation of division strategies, I launched our first number string by telling students to look for relationships they could use to make division easier. Our goal for the week was to think about when long division was necessary and when there were more efficient or better strategies that could be applied. Our first string was designed to have students notice the constant ratio — when both the dividend and divisor are multiplied or divided by the same constant — also known as scaling up or down down division problems.
32 ÷ 4
320 ÷ 40
3200 ÷ 400
3.2 ÷ .4
5.6 ÷ .8
Students noticed quickly that we could scale the problem up and down to make friendlier numbers — and that the quotient stayed the same. They described the division as a fraction, and related the scaling to simplifying fractions. They emphasized that it had to stay equivalent, but we could be flexible in changing the numbers. They were able to apply this strategy to the new problem without a helper.

Later in the week, I returned to the work and said the following, “This week, we’ve been working on division strategies, and considering what’s the best, most efficient way to solve a problem. Today, we are going to do a number string with a bunch of division problems. Our focus is not going to be on speed, because it’s not a race. Instead we are going to try to find the most efficient or easiest strategy to use. Our goal is to think like mathematicians — be strategic and efficient. Consider the numbers for each problems before you choose a strategy — and be ready to explain how your strategy makes the problem easier to do mentally.”
For my first period class I planned this string
13.2 ÷ 1.1
3.6 ÷ 1.8
7.2 ÷ 4.5
245 ÷ 3.5
32 ÷ .25
3600 ÷ 1.4
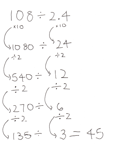
(108 ÷ 2.4) — planned but didn’t get to it
We did all of the problems, except the last one. Because of conversations we had earlier in the week, my students trusted that they could scale up or down a division problem to make it friendlier. This meant 13.2 ÷ 1.1 became 132 ÷ 11. My students knew that those two problems were equivalent. Though they were good at scaling by any power of ten, they did not take up the idea of scaling by other factors. Many of them got stuck on 7.2 ÷ 4.5 for example. They initially thought to scale the problem to 72 ÷ 45, but written as a division problem seemed not to help them. When it was written as a fraction, however [72/45] students knew they could rename it as 8/5 and later it became 1.6.


Next I posed the problem 245 ÷ 3.5 and students were not sure what to do. Interesting things happened:
- A student scaled the problem to 2450 ÷ 35, then changed the problem to 2450 ÷ 70 (by doubling the divisor) to make it easier for him to think about. Next he used partial quotients to build his way up to the quotient — essentially 2100 ÷ 70 = 3 and 350 ÷ 35 = 10. Once he had the partial quotients for 2100 ÷ 70 and 350 ÷ 35, he multiplied 2 x 10 x 3 to get 60 35s in 2100 and 10 35s in 350, which he added together to get 70. I was struck by the power of his working memory to hold all of these parts together and knew that recording his strategy as he spoke it would help him, and all of my other students make sense of his thinking.
- Another student scaled the problem inconsistently — 245 ÷ 5 became 2450 (scaled by 10) ÷ 350 (scaled by 100). Later the same student adjusted the problem by a factor of 10 to accommodate for the original move. I was fascinated by this strategy — adjusting the problem to make a non-equivalent, but friendly problem, and then adjusting it back to make it equivalent again.
The next problem — 32 ÷ .25 was surprisingly easy for the students to solve. I think they recognized .25 as 1/4 of a whole, whereas they do not think of 3.5 as 1/2 of 7. Many may have thought about money as well — envisioning the .25 as a literal quarter, four of which are equivalent to $1 and thinking about how many quarters in $32.
For the last problem — 3500 ÷ 1.4 — I was surprised by the number of my students who simplified the problem by a factor of 7 — 500 ÷ .2 and then “just knew” it would be 2500.
Finally, I borrowed a practice from the Contemplate then Calculate [http://www.fosteringmathpractices.com/contemplate-then-calculate/] routine and asked students to reflect on their own thinking [meta-cognition]. I reminded them of our goal of thinking like mathematicians and finding new strategies for new problems. I allowed them time to choose a prompt and write a response on an index card that I collected.
After reading through their exit tickets it was clear that students were in many different places, with respect to division of decimals:
- Some mentioned using “common factors” as a helpful strategy
- Others mentioned noticing “common multiples” as a helpful strategy
- Some mentioned “scaling up or down” to make the numbers friendlier/easier
- Many noticed patterns but not all could describe them or say what was helpful about them
- Several hadn’t yet developed the language to describe the mathematics and wrote in vague terms — “having strategies that worked quickly”
For the next day, I planned an “entry slip” where students were asked to solve another decimal division problem using mental math and then ask them to record their strategies on an index card. I thought about using 108 ÷ 2.4, but initially worried it required too much scaling:
108 ÷ 2.4 = 1080 ÷ 24 = 540 ÷ 12 = 270 ÷ 6 = (240 ÷ 6) + (30 ÷ 6) = 40 + 5 = 45
Ultimately, I decide to try it out — not as a string, but as independent work, where students were asked to explain their thinking in words as well as in numbers. I asked student to “think about the strategies from this week’s number strings and use them to solve today’s problem.”
When I analyzed their entry slips, their work fell into a few big categories:
Scaling the problem up and down until it feels friendly (Hiro)

Multiplying the divisor (2.4) by 10 to get rid of the decimal, then adjusting (Wendy)

Getting rid of the decimal (Ming)
Looking inside the numbers for common factors (12), then scaling up by 10 (Dante)

Looking for common factors in the numbers (12), then solving (Franklin)

Scaling up the divisor to get rid of the decimal, then “making it equal” (Janice)

Where are we now?
Initially, I saw many of my students struggle to solve division of decimals problems on a pre-assessment. So I was fascinated with how many of them were able to do our entry slip problem using strategies that had emerged in our strings. It’s clear from the exit tickets, too, that most of the students were able to use the strategies, while a handful of them were resistant to leaving long division behind. Sure, there were some students who made some calculation errors, but this was true of those who used long division as well as those who scaled the problem to a friendlier place.
Where am I now?
I am also thinking about how differently I lead number strings — from just a year ago. I know from other routines (Contemplate then Calculate) that very focused turn-and-talks at specific points in the routine is really important. I also watched Kara Imm (Math in the City) do this with middle school students at Lyons Community School (Brooklyn) this fall — a way to give all kids an opportunity not just to think, but also to talk. My students had better stamina this year, and they were more interested in listening when I asked them to put their pens, calculators and notebooks away. Engagement was better both because of the structure of the routine as well as the way we designed the strings to build from one to the next.
By crafting an opportunity for students to see the efficiency of other strategies over the standard algorithm, I encouraged my students to move beyond the algorithm as a standard default. Now, instead of mindlessly attacking a problem with a brute force strategy such as long division, my students are beginning to think flexibly about other possible strategies. This is evident from the number of students whose exit tickets show no signs of long division!
I’ve found a few things are key in delivering a successful number string. First, the sequence of the problems needs to guide students towards specific strategies and expand their tool box one piece at a time, without narrowing their focus too much on one tool, such as when I accidentally blinded my students by providing them with too many scaling by 10 and not enough “obvious” scaling by other factors, such as 2, 3, 4, 5, or even 12! Second, though the number string is a whole-class activity, it can and should be broken up into chunks of partner talk where students discuss their strategies in their partnerships and then discuss the strategies that are shared out. Finally, the reflection component at the end of class is critical for ensuring that students learn strategies to solve future problems and not just one solution for one problem.
1 Comment